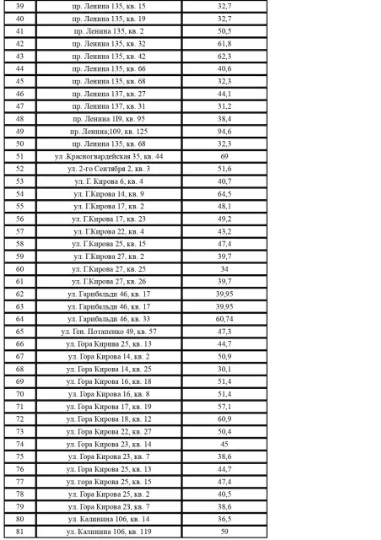
Оккупанты внесли новые квартиры лисичан в так называемый "маневренный жилищный фонд".
Об этом сообщает псевдоадминистрация Лисичанска.
Всем владельцам указанных квартир нужно в десятидневный срок явиться в "администрацию" Лисичанска с пакетом документов, подтверждающих право собственности для отказа в предоставлении жилого помещения в "маневровый фонд".
Список квартир многоквартирных жилых домов Лисичанска, подлежащих внесению в "реестр маневренного жилищного фонда" в 2024 году:











