В оккупированном Мариуполе Донецкой области продолжается незаконная “национализация” жилья. Еще почти 500 квартир россияне объявили “бесхозными”.
Об этом сообщил Мариупольский городской совет.
Как отметили в посте, аналогичные перечни регулярно публикуются.
Цель такого статуса — передать жилье в “муниципальную собственность”, где коллаборанты будут решать, что с ним дальше делать, кому отдать или даже продать.
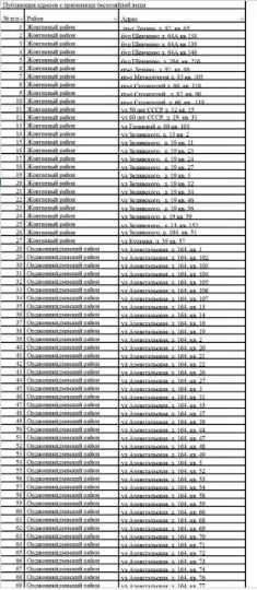
Ниже — новый перечень жилищ мариупольцев, попавших под так называемую “национализацию”. В списке — 446 объектов.
В то же время, создаются искусственные барьеры для подтверждения права собственности или вступления в наследство. Из-за обстрелов россиян погибли десятки тысяч человек, чьи родственники не могут претендовать на их имущество, поскольку для этого нужно лично приехать во временно оккупированный Мариуполь. Но это возможно далеко не для всех, ведь фильтрационные мероприятия проходят только единицы — через антиросийские настроения, место работы или родственников.
Оставшиеся в оккупации люди сталкиваются с другими проблемами — потеряны документы, а для восстановления прав на недвижимость необходимо пройти сложный бюрократический процесс, который способны осилить не все. Однако россияне не заинтересованы в помощи населению.
Читайте также: “Национализация” недвижимости на ВОТ: что делать в случае незаконного заселения оккупантов.











