У тимчасово окупованому Маріуполі так звана “адміністрація” оприлюднила перелік “безгоспних” приміщень українців. У списках понад 550 адрес.
Про це повідомили ворожі інформресурси.
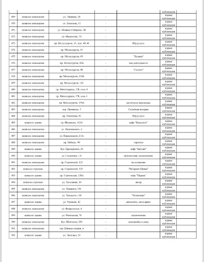
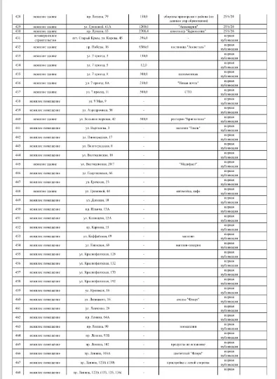
Окупанти визнали 502 бізнес-приміщення “безгоспними”. Тепер вони вимагають від власників особисто звернутися до маріупольської “адміністрації” та надати необхідні документи, зокрема, й паспорт РФ. В іншому випадку погрожують відібрати нерухоме майно.
На світлинах — перелік бізнес-приміщень у Маріуполі.
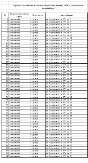
Крім того, у Кальміуському районі (кол. Іллічівський), по вул. Карпінській, 37А, окупаційна “адміністрація” оприлюднила новий список із 52 житлових помешкань.
Що відомо про так звану “націоналізацію майна” в Маріуполі?
- у травні 2024 року росіяни “офіційно” розпочали відбирати майно маріупольців;
- щоб уникнути ремонту пошкоджених квартир, окупанти віддають “безгоспні” помешкання як компенсацію;
- у червні 2024 року росіяни почали продавати гаражі українців, які виїхали з міста. Ціна такого “задоволення” становить близько 400 000 рублів.
Нагадаємо, окупанти “націоналізували” вже 300 000 помешкань українців на Донеччині.
Читайте також: Росіяни зруйнували маріупольський парк “Веселка”: що відомо (відео).











